3,4-二氯苯胺

結構式
| 物競編號 | 029s |
|---|---|
| 分子式 | c6h5cl2n |
| 分子量 | 162 |
| 標簽 |
芳香族含氮化合物及其衍生物 |
編號系統
cas號:95-76-1
mdl號:mfcd00007768
einecs號:202-448-4
rtecs號:bx2625000
brn號:636837
pubchem號:24867396
物性數據
1.性狀:褐色針狀結晶。[1]
2.熔點(℃):70~72.5[2]
3.沸點(℃):272[3]
4.相對密度(水=1):1.33[4]
5.相對蒸氣密度(空氣=1):5.59[5]
6.飽和蒸氣壓(kpa):0.13(80.5℃)[6]
7.臨界壓力(mpa):4.1[7]
8.辛醇/水分配系數:2.69[8]
9.閃點(℃):166(oc)[9]
10.引燃溫度(℃):265[10]
11.爆炸上限(%):7.2(179℃)[11]
12.爆炸下限(%):2.8(153℃)[12]
13.溶解性:微溶于水,溶于多數有機溶劑。[13]
毒理學數據
1.急性毒性[14] ld50:545mg/kg(大鼠經口)
2.刺激性[15]
家兔經皮:2mg(24h),重度刺激。
家兔經眼:250μg(24h),重度刺激。
3.致突變性[16] 微生物致突變:構巢曲霉200mg/l。姐妹染色單體交換:人淋巴細胞125μmol/l。
生態學數據
1.生態毒性[17]
lc50:7.26~8.95mg/l(96h)(黑頭呆魚,36d);<0.1mg/l(96h)(水蚤)
2.生物降解性 暫無資料
3.非生物降解性[18] 空氣中,當羥基自由基濃度為5.00×105個/cm3時,降解半衰期為17h(理論)。
4.生物富集性[19] bcf:30.2(斑馬魚,接觸時間10h)
分子結構數據
1、摩爾折射率:40.27
2、摩爾體積(cm3/mol):115.6
3、等張比容(90.2k):304.8
4、表面張力(dyne/cm):48.3
5、極化率(10-24cm3):15.96
計算化學數據
1.疏水參數計算參考值(xlogp):無
2.氫鍵供體數量:1
3.氫鍵受體數量:1
4.可旋轉化學鍵數量:0
5.互變異構體數量:無
6.拓撲分子極性表面積26
7.重原子數量:9
8.表面電荷:0
9.復雜度:97.1
10.同位素原子數量:0
11.確定原子立構中心數量:0
12.不確定原子立構中心數量:0
13.確定化學鍵立構中心數量:0
14.不確定化學鍵立構中心數量:0
15.共價鍵單元數量:1
性質與穩定性
1.本品有毒。能引起呼吸系統、神經系統及造血系統的病變。小鼠灌胃ld501000mg/kg,大鼠灌胃ld50700mg/kg。大鼠的嗅覺閾0.047mg/m3;眼睛光感低0.025mg/kg。設備應密閉,防止跑、冒、滴、漏。操作時應穿戴防護用具,避免與人體直接接觸。操作場所空氣中高容許濃度為0.05mg/m3。
2.穩定性[20] 穩定
3.禁配物[21] 酸類、酰基氯、酸酐、強氧化劑
4.避免接觸的條件[22] 受熱
5.聚合危害[23] 不聚合
6.分解產物[24] 氯化氫
貯存方法
儲存注意事項[25] 儲存于陰涼、通風的庫房。遠離火種、熱源。包裝密封。應與氧化劑、酸類、食用化學品分開存放,切忌混儲。配備相應品種和數量的消防器材。儲區應備有合適的材料收容泄漏物。
合成方法
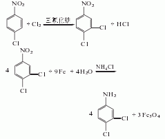
1.以無水三氯化鐵作催化劑,向105℃的熔融狀態的對硝基氯苯通入氯氣,得3,4-二氯硝基苯。再在回流狀態下與鐵粉、甲酸和水進行還原反應,得到3,4-二氯苯胺。3,4-二氯硝基苯也可以由鄰二氯苯硝化而得。在與鐵粉的還原反應中可用冰醋酸代替甲酸。另一種還原方法是催化加氫法。
2.其制備方法是在反應釜中加入對氯硝基苯、無水三氯化鐵催化劑,于100~110℃通入氯氣,當測定氯化反應物凝固點到30~31℃時即為反應終點。將此物移至還原釜,再加入硫代硫酸鈉(以消除反應物中剩余氯的影響)、甲酸,加熱到100℃(回流狀態)慢慢加入鐵粉(約4~5h加完),而后繼續保持回流反應,當觀察不到硝基苯存在時即為反應終點。加入3,4-二氯苯胺產量5~6倍的氯苯,攪拌0.5~1.0 h,經冷卻、過濾并以少量氯苯洗滌濾渣,所得濾液為3,4-二氯苯胺的氯苯溶液,加熱脫氯苯得3,4-二氯苯胺。

也可以用3,4-二氯硝基苯催化加氫而制得。在高壓釜中加入3,4-二氯硝基苯,并加入蘭尼鎳催化劑,工業乙醇為溶劑,用氮氣趕高壓系統3次,氫氣趕3次,然后充氫氣達壓力為4 mpa,同時升溫至60~70℃進行反應,直到不吸收氫氣為止,然后冷卻經后處理可得成品。
此外,也可用鄰二氯苯為原料,經硝化得3,4-二氯硝基苯,再進一步還原得成品。國外大部分企業用此法生產3,4-二氯苯胺。
用途
1.用于合成c.i.分散紅153(分散紅g-s)和c.i.分散紅152等。也是農藥敵草隆和滅草靈等除草劑的中間體。
2.用于染料中間體、農藥中間體及生物組分中間體。[26]
擴展閱讀https://www.bdmaee.net/cyclohexylamine-series-products-2/擴展閱讀https://www.newtopchem.com/archives/44066擴展閱讀https://www.cyclohexylamine.net/2-methylcyclohexylamine/擴展閱讀https://www.newtopchem.com/archives/45010擴展閱讀https://www.bdmaee.net/catalyst-a400/擴展閱讀https://www.bdmaee.net/wp-content/uploads/2022/08/130-1.jpg擴展閱讀https://www.bdmaee.net/cas-753-73-1/擴展閱讀https://www.bdmaee.net/1-methylimidazole/擴展閱讀https://www.bdmaee.net/zinc-octoate-2/擴展閱讀https://www.newtopchem.com/archives/598

